2023.06.12
【PFOS・PFOA】有機フッ素化合物を安全に除去できる浄水器って?
創業50年来、世界80カ国以上で採用されている浄水器ブランド「マルチピュア」は、水道水のなかに潜む約100種類もの有害物質をほとんど100%取り除くことができます。
- PFOS(ペルフルオロオクタンスルホン酸)
- PFOA(ペルフルオロオクタン酸)
これらをはじめとした有機フッ素化合物は、近年、その有害性に鋭い注目が集められ、国内外で規制が強化されています。本記事では、日本の水道水における有機フッ素化合物の基礎知識を解説します。
【基礎解説】有機フッ素化合物(PFAS)とは?

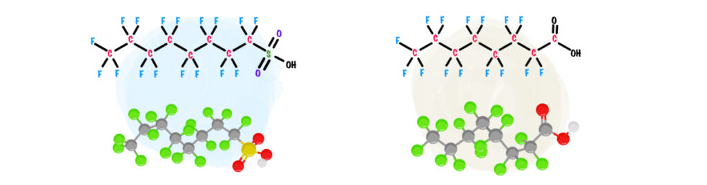
有機フッ素化合物とは、炭素-フッ素結合を持つ有機化合物の総称です。
炭素鎖の長さが異なる複数の同族体が存在し、「発がん性」や「発達障害」に影響を及ぼす毒性が報告されています。* なかでも炭素数が8であるPFOSおよびPFOAは、難分解性が特徴のひとつです。水中などで分解されにくく、生物が摂取するとその体内に残留する性質を持ちます。
PFOS(ペルフルオロオクタンスルホン酸)とは
1950年代半ばにアメリカで開発された界面活性剤がPFOSです。半導体の製造時に使用される薬剤や、火災時の泡消火剤などに用いられてきました。
PFOA(ペルフルオロオクタン酸)とは
PFOAも、PFOSと同様の性質を持ちます。鍋底が焦げつきにくいテフロン加工の調理器具や、食品包装紙など、日常の身近なところでも使用されています。
どちらも安定性が高い化合物のため、分解されにくく体内に蓄積しやすい種類のものです。
* Kennedy, G.L., Jr., Butenhoff, J.L., Olsen, G.W., O’Connor, J.C., Seacat, A.M., Perkins, R.G., Biegel, L.B., Murphy, S.R., and Farrar, D.G., The toxicology of perfluorooctanoate. Crit. Rev. Toxicol., 34, 351-384(2004)
* Lau, C., Butenhoff, J. L. and Rogers, J. M., The developmental toxicity of perfluoroalkyl acids and their derivatives. Toxicol. Appl. Pharmacol., 198, 231-241(2004)
PFOS/PFOAによる河川水汚染問題が深刻化

PFOS/PFOAは、1950年代半ばから半世紀にわたり、世界規模で使用されてきました。
しかし、次第にその危険性が確認されるようになり、2001年「残留性有機汚染物質に関するストックホルム条約」(POPs 条約)によって、国際的に製造や使用が制限される旨が採択されました。
日本では2020年(令和2年)に要監視項目として設定
これを受けて日本では、2020年(令和2年)よりPFOSとPFOAが「要監視項目(水質管理目標設定項目)」に指定されています。
暫定的ではありますが、現状の目標値は、PFOSとPFOAの合算値で0.00005 mg/L以下(50ng/L以下)となっています。

※参考:ストックホルム条約 | POPs(環境省HP)
環境省の「有機フッ素化合物全国存在状況把握調査」とは?

PFOS/PFOAの有害性を受け、日本では環境省の主導により全国的な水環境調査が実施されています。
「PFOS及びPFOA全国存在状況把握調査」の結果は、環境省のウェブサイトから確認可能です。地域によっては注意を要するため、一度ご自宅の付近を調べてみてもよいでしょう。
(参考)令和二年度「有機フッ素化合物全国存在状況把握調査」の実施結果まとめ
要監視項目のPFOS及びPFOAは、調査が実施された143地点のうち、12都府県の21地点において、目標値(PFOS/PFOAの合算値で50ng/L)の超過が確認されました。
※目標値を超過した地下水・湧水は、いずれも飲用用途の水ではありません。
調査結果の詳細は、環境省のウェブサイトで公開されています。
令和2年度有機フッ素化合物全国存在状況把握調査の結果について|環境省
東京都・多摩地域のPFAS血中濃度検査について(時事ニュース)

東京都府中市と国分寺市では、住民に対して血液検査を行った結果、PFOSの血中濃度の平均値が、府中市の住人で全国平均の2倍以上、国分寺市の住人では1.5倍だったことが判明しました。
配水元の浄水場は、府中武蔵台浄水所(府中市)および東恋ケ窪浄水所(国分寺市)となります。
2019年より2023年の現在まで問題が引き続いており、血中濃度が指標値を超えている住民は約85%に上ります。
指針値を上回る有機フッ素化合物が検出される理由
問題発生時より水道水が主な原因として考えられており、健康被害の恐れが懸念されています。
汚染源ははっきりと特定されているわけではないものの、米軍が利用する泡消火剤にPFASが含まれていることから、米軍基地との関連性が疑われています。
なお、多摩地域に限らず、全国の米軍基地および周辺地域で高濃度のPFASが検出されています。
PFOS/PFOAを除去できる安全な浄水器

米国生まれの浄水器「マルチピュア」は、有機フッ素化合物(PFOS/PFOA)をはじめ、約100種類の有害物質や不純物を除去することができます。
マルチピュアは「世界最多」の認証

ウイルス・バクテリア・ヒ素まで除去できるのは、世界で唯一、マルチピュアの浄水器だけ。
NSF認証取得済みのフィルターカートリッジは、世界中に約1万2,000種ほどありますが、なかでもマルチピュアの『Aquaextra』シリーズは、世界最高峰の浄水性能を持つことが証明されています。
Aquaextra(アクアエクストラ)シリーズ
Aquaextraシリーズでは、除去率95.5%という高い水準で、PFOS/PFOAを除去することができます。
現在、世界80カ国以上に愛用者がいます。
有機フッ素化合物を除去して「あんしん」に。

もちろん、PFOS/PFOAを除去できるのはAquaextraシリーズだけではありません。
その他のすべてのモデルで、同様にPFOS/PFOAを除去できます。*
* 2023年現在、Aquaextraシリーズ向けカートリッジ以外ではNSF認証を取得していないため、公式サイトの除去項目にはPFOS/PFOAを記載しておりませんが、Aquaextraシリーズ以外のモデルも同じ活性炭フィルターを使用しています。PFOS/PFOAの除去性能は同等なので、安心してご利用いただけます。
日本の水道事情についてもっと知りたいなら
以下からメールアドレスを登録いただいた方に、日本全国のPFOS/PFOA検出情報やマルチピュアからのお得な割引きキャンペーン情報をお届けします!
PFOS/PFOAをはじめ、お水の安全性と有害物質について気になる方は、ぜひご登録ください。
マルチピュア浄水器の製品資料も閲覧いただけます(カタログ郵送も選択可)。
\\マルチピュアのお得情報を受け取る//

